

Pigmento orgánico F3RK: Pigmento Rojo GL, también conocido como Rubí Lithol estable al agua; Rojo Permanente 3128 F5RK; Rojo Permanente 3128 F3RK; Rojo Permanente BH-F2RK; Rojo Permanente BH-F3RK, etc., es un color ampliamente utilizado en la industria de recubrimientos. Se utiliza ampliamente en diversas pinturas industriales, pinturas para hornear, pinturas plásticas y pinturas para reparación de automóviles. Presenta colores brillantes y buena resistencia a la intemperie. Las pastas de color producidas ofrecen una larga vida útil, excelente compatibilidad, no forman sedosidad flotante y un color estable. Es uno de los pigmentos rojos más utilizados en la industria de recubrimientos hasta la fecha.
Categoría: pigmentos orgánicos de fenol AS
Número de registro: CAS[2786-76-7]; CI 12475
Fórmula estructural:

Fórmula molecular: C26H22N4O4
Peso molecular: 454,49
Propiedades del pigmento:
Polvo rojo azulado. Insoluble en agua, resistente a ácidos y álcalis. Insoluble en disolventes orgánicos generales. Excelente solidez. Presenta dos formas cristalinas. Tonalidad rojo azulada. pH = 7, densidad 1,5 g/cm³.
Método de producción de pigmentos:
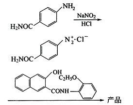
Añadir 13,6 partes (masa) de 1-amino-4-benzamida a 60 partes (volumen) de ácido clorhídrico de 5 mol/L, agitar ligeramente y diluir con agua. A 10 °C, diazotar con 20 partes (volumen) de solución de nitrito de sodio de 5 mol/L para obtener un diazo líquido. Mezclar 32 partes (masa) de N-(2-etoxifenil)-2-hidroxi-3-naftamida y 1000 partes (volumen) de piridina. Añadir el diazo líquido a 25-30 °C en un plazo de 30-45 min. Tras la adición, agitar durante 1 h más. Filtrar, vaporizar hasta que no quede piridina, lavar con agua y secar para obtener el producto.

Propiedades del pigmento (propiedades principales de la pasta de color):
| Nombre del indicador | índice |
| Exterior | Líquido rojo claro azul |
| Poder de teñido/% | Es 100±5 del producto estándar. |
| Finura (contenido de residuos después de pasar por un tamiz de 80 mallas)/% | ≤5 |
| Solidez/nivel a la luz | 7~8 |
| Resistencia al calor/℃ | >250 |
| Resistencia/nivel de ácido | 5 |
| Resistencia/nivel alcalino | 5 |
| Permeabilidad/grado del petróleo | 5 |
| Permeabilidad/nivel del agua | 5 |
usar:
Tiene un excelente rendimiento de aplicación y un precio medio, por lo que resulta muy práctico. Presenta dos formas cristalinas, ambas aptas para recubrimientos. En particular, los pigmentos opacos poseen un alto poder cubriente, colores brillantes y una excelente resistencia a la luz y a la intemperie. Se utilizan principalmente en recubrimientos para herramientas agrícolas, recubrimientos automotrices y la fabricación de algunos equipos. No se decolora al usarse en exteriores, pero el color se oscurece. Comparado con los pigmentos de la serie NB349 y los pigmentos de quinacridona, tiene un precio más bajo, pero su resistencia no es tan buena como la de estos últimos. Su pigmento opaco se puede mezclar con óxido de hierro para mejorar el poder cubriente, la resistencia y reducir costos. Este pigmento es particularmente adecuado para su uso como pigmento rojo sin plomo. El tipo azul claro transparente de este producto se utiliza ampliamente en tintas debido a su alto poder colorante. Su color es similar al del CI Pigment Red 5 (Fast Magenta FB). Debido a su alto poder colorante, tiene la misma profundidad de color.
Se requiere una menor cantidad de pigmento. Este pigmento es adecuado para tintas de impresión de cloruro de polivinilo y tintas de impresión para embalajes. El pigmento doméstico rojo GL tiene una solidez a la luz de 7-8, resistencia al calor superior a 250 °C y buena capacidad de formación de película. Se puede utilizar en pinturas a base de aceite y agua. Usuarios domésticos han utilizado el esmalte de poliuretano automotriz 9203 y la pintura de horneado aminoalquídica A04-8535, demostrando que la película de pintura presenta un buen brillo y una excelente resistencia a la intemperie tras un año de exposición en el sector automotriz. Se puede utilizar en la pintura de automóviles.
Este producto también se puede utilizar para colorear la pulpa original de polipropileno, viscosa, fibra de acetato, etc.
Productos terminados de pasta de color Thyssen


